网站首页|关于我们|团队队伍|旗下产业|研究生教育|科学研究|党团建设|招聘信息|员工天地
文章内容页
当前位置: 网站首页>>学术展台>>正文
玉米提·哈力克教授课题组发文报道了一种能有效降低屋顶面下温度的高分子材料
2024-12-26 12:29  


城市化进程的加快以及商业活动的日益集中导致城市热岛效应尤为严重。利用反射屋顶技术,如高分子材料屋顶,可以有效地减轻热浪引起的多余热量,提高舒适度。然而不同天气条件对屋顶材料降温效果的影响目前知之甚少,尤其是在中国西北部乌鲁木齐市这样的干旱区绿洲城市,探究屋面材料的降温性能具有重要的生态意义。

2024115日,公司玉米提·哈力克教授课题组在工程技术1区期刊Building and Environment上发表题为“Selection and performance evaluation of roof materials in arid oasis cities: The advantages of white polymer materials”的研究论文,报道了一种能有效降低屋顶面下温度的高分子材料,论文第一作者为博士研究生符文涛。

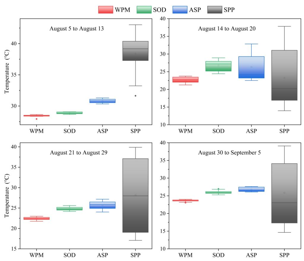
该研究通过分析白色聚合物材料(WPM)、草皮(SOD)、沥青(ASP)和太阳能光伏板(SPP)四种屋顶材料的面下降温性能。结果表明:与SODASPSPP相比,WPM具有更优越的面下热缓解性能。与SODASPSPP相比,WPM面下的日平均温度最低,日最高温差分别为6.5℃9.6℃6.7℃。气候因子(太阳辐射强度、降水、云量)与WPM面下的温度之间没有显著的相关性(P>0.05),这强调了WPM稳定的冷却性能。

图1  研究区域、屋顶平面和试验点位置图

图2  不同材料面下温度变化

图3  三种典型天气条件下四种材料的面上、面下温度变化

该研究量化了在干旱区炎热夏季不同屋顶材料的热缓解性能,揭示了不同气候条件对屋顶材料热缓解性能的影响。探究了4种屋顶材料的面下冷却能力及其与气候因素的相互作用,证实了白色高分子材料能有效降低屋顶面下温度,为干旱地区的热缓解策略提供了宝贵的见解。

文章DOI:https://doi.org/10.1016/j.buildenv.2024.112282



关闭窗口

版权所有:2026年国际足联世界杯(23rd FIFA World Cup)-Official website  

地址:乌鲁木齐市水磨沟区华瑞街777号 2026年国际足联世界杯博达校区 2026年国际足联世界杯   邮政编码:830017